全国2010年4月高等教育自学考试概率论与数理统计
编辑整理:深圳自考网 发布时间:2018-05-24 07:05:15阅读数:
全国2010年4月高等教育自学考试概率论与数理统计(二)试题
课程代码:02197
一、单项选择题(本大题共10小题,每小题2分,共20分)
在每小题列出的四个备选项中只有一个是符合题目要求的,请将其代码填写在题后的括号内.错选、多选或未选均无分.
1.设A与B是任意两个互不相容事件,则下列结论中正确的是( )
A. P(A)=1-P(B)
B. P(A-B)=P(B)
C. P(AB)=P(A)P(B)
D. P(A-B)=P(A)
2.设A,B为两个随机事件,且
,则
( )
A. 1
B. P(A)
C. P(B)
D. P(AB)
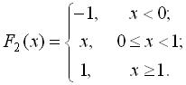
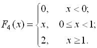
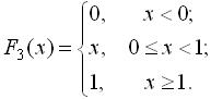
3.下列函数中可作为随机变量分布函数的是( )
A.
B.
C.
D.
4.设离散型随机变量X的分布律为
则
( )
A.0.3
B.0.4
C.0.6
D.0.7
5.设二维随机变量(X,Y)的分布律为( )

且X与Y相互独立,则下列结论正确的是
A.a=0.2,b=0.6
B.a=-0.1,b=0.9
C.a=0.4,b=0.4
D.a=0.6,b=0.2
6.设二维随机变量(X,Y)的概率密度为
则P{0>X<1,0<Y<1}=( )
A.
B.
C.
D.1
7.设随机变量X服从参数为
的指数分布,则E(X)=( )
A.
B.
C.2
D.4
8.设随机变量X与Y相互独立,且X~N(0,9),Y~N(0,1),令Z=X-2Y,则D(Z)=( )
A.5
B.7
C.11
D.13
9.设(X,Y)为二维随机变量,且D(X)>0,D(Y)>0,则下列等式成立的是( )
A.E(XY)=E(X)·E(Y)
B.Cov
C. D(X+Y)=D(X)+D(Y)
D.Cov(2X,2Y)=2Cov(X,Y)
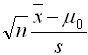
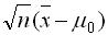
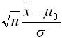
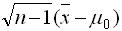
10.设总体X服从正态分布N(
),其中
未知,x1,x2,…,x n为来自该总体的样本,
为样本均值,s为样本标准差,欲检验假设
,则检验统计量为( )
A.
B.
C.
D.
课程代码:02197
一、单项选择题(本大题共10小题,每小题2分,共20分)
在每小题列出的四个备选项中只有一个是符合题目要求的,请将其代码填写在题后的括号内.错选、多选或未选均无分.
1.设A与B是任意两个互不相容事件,则下列结论中正确的是( )
A. P(A)=1-P(B)
B. P(A-B)=P(B)
C. P(AB)=P(A)P(B)
D. P(A-B)=P(A)
2.设A,B为两个随机事件,且
( )A. 1
B. P(A)
C. P(B)
D. P(AB)
3.下列函数中可作为随机变量分布函数的是( )
A.
B.

C.
D.

4.设离散型随机变量X的分布律为

则
( )A.0.3
B.0.4
C.0.6
D.0.7
5.设二维随机变量(X,Y)的分布律为( )

且X与Y相互独立,则下列结论正确的是
A.a=0.2,b=0.6
B.a=-0.1,b=0.9
C.a=0.4,b=0.4
D.a=0.6,b=0.2
6.设二维随机变量(X,Y)的概率密度为

则P{0>X<1,0<Y<1}=( )
A.
B.

C.
D.1
7.设随机变量X服从参数为
A.
B.

C.2
D.4
8.设随机变量X与Y相互独立,且X~N(0,9),Y~N(0,1),令Z=X-2Y,则D(Z)=( )
A.5
B.7
C.11
D.13
9.设(X,Y)为二维随机变量,且D(X)>0,D(Y)>0,则下列等式成立的是( )
A.E(XY)=E(X)·E(Y)
B.Cov

C. D(X+Y)=D(X)+D(Y)
D.Cov(2X,2Y)=2Cov(X,Y)
10.设总体X服从正态分布N(
),其中
未知,x1,x2,…,x n为来自该总体的样本,
为样本均值,s为样本标准差,欲检验假设
,则检验统计量为( )A.
B.

C.
D.

[1]
本文标签:深圳自考 历年真题 全国2010年4月高等教育自学考试概率论与数理统计
转载请注明:文章转载自(http://www.zikaosz.com)
《深圳自考网》免责声明:
1、由于考试政策等各方面情况的调整与变化,本网提供的考试信息仅供参考,最终考试信息请以省考试院及院校官方发布的信息为准。
2、本站内容部分信息均来源网络收集整理或来源出处标注为其它媒体的稿件转载,免费转载出于非商业性学习目的,版权归原作者所有,如有内容与版权问题等请与本站联系。联系邮箱:812379481@qq.com
